Quick Overview
Imagine you're buying your first health plan. You've shortlisted Star Health Assure. But then someone tells you the premium, and it's different from what your friend paid for the same plan. Confusing, right?
That’s how health insurance premiums work. Your age, the city you live in, how much coverage you want, and whether you're buying for yourself or your family all change the amount you pay.
This article breaks down what the Star Health Assure premium chart shows, how to read it, where to download the PDF, and what actually changes the premium you pay.
What the Star Health Assure Premium Chart Shows?
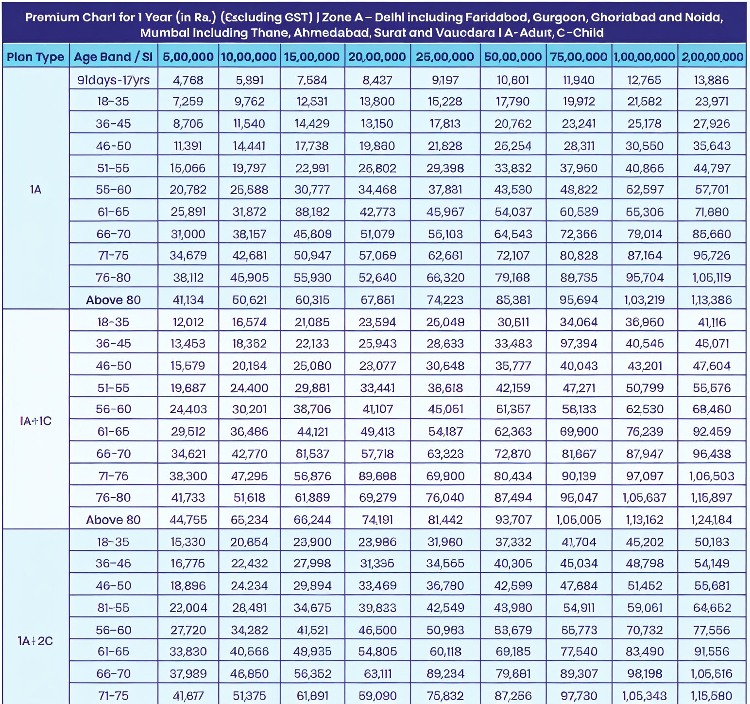
The Star Health Assure Insurance policy premium chart is published in the plan's prospectus and is available on the official Star Health website.

Source: Star Health Assure Prospectus
Age-Wise Premiums
The older you are, the more you pay. The chart groups people into age bands such as 18-35, 36-45, 46-50, and so on. Moving from one age band to the next, you'll see a noticeable jump.
Note: For policies where someone enters at age 61 or above, a mandatory 10% co-payment applies to each claim.
Zone-Wise Premiums
Healthcare costs vary across India. A hospital stay in Mumbai costs more than the same treatment in a smaller town. Star Health Assure accounts for this by dividing the country into three zones.
Sum Insured-Wise Premiums
The Star Health Assure plan offers sum insured options ranging from ₹5 lakh to ₹2 crore. However, if the entry age is over 65, you can opt for a maximum of ₹50 lakh. Although higher coverage means a higher premium, the increase is not linear.
Individual vs Family Floater Premiums
The Assure plan is available on both an individual and a floater basis. In an individual plan, each person has their own sum insured and premium. In a family floater, everyone in the family shares a single pool of coverage, and the premium is calculated primarily based on the age of the oldest member.
Under the family floater structure, the plan can cover up to 6 adults and 3 children.
How to Calculate Star Health Assure Premium?
If you want a personalized number in under two minutes, the Star Health online calculator is the way to go.
- Visit www.starhealth.in/health-insurance/star-assure/
- Click on View Plan.

- Fill in your details: mobile number, email address, date of birth, number of family members, and pin code.
- Select the sum insured you need.
- The system will show you the annual premium, including applicable discounts.
Star Health Assure Premium Chart PDF Download
The easiest way to download the full premium chart is directly from the official Star Health website.
- Go to https://www.starhealth.in/health-insurance/star-assure/.
- Once you scroll down, go to “Downloads”, and you will find the Prospectus.

- Alternatively, you can click on the “Premium Chart” to access it.
- Download the PDF and look for the premium rate tables section.

Factors That Affect Star Health Assure Premium
Age
Age is the single biggest factor affecting your premium. The older you are, the higher the risk the insurer is taking on. This is why premiums jump noticeably as you move from one age band to the next, and even more so when you cross 45 or 60.
Policy Structure (Individual vs. Floater)
In a family floater, the premium is calculated based on the age of the oldest member. For families with a significant age gap, we generally recommend one floater for you, your spouse, and your kids, and a separate policy for parents.
Discounts
Star Health Assure offers several discounts. You can earn up to 20% off at renewal through the Star Wellness Program. Moreover, you can save 10% on the second and third year premiums by choosing a multi-year policy payment at the start.
Medical History and Underwriting
If any insured member has pre-existing conditions or lifestyle-related risks, the insurer may apply a loading or additional premium after medical underwriting. This is how insurers adjust pricing to reflect individual health risk.
Installment Mode
Paying annually is always the most cost-effective option. Choosing monthly, quarterly, or half-yearly installments adds a 2-4% loading to your annual premium without changing your coverage.
Other Popular Star Health Plans With Their Premium Chart
Note: A stands for Adults, and C stands for Child. These are indicative base premiums for a Delhi resident (110001). Your premium can change based on age, city, medical history, plan variant, and chosen add-ons.
Please refer to our detailed guide on the Star Health Insurance Premium Chart.
Why Talk to Ditto for Health Insurance?
At Ditto, we’ve assisted over 8,00,000 customers with choosing the right insurance policy. Why customers like Pallavi below love us:

- No-Spam & No Salesmen
- Rated 4.9/5 on Google Reviews by 15,000+ happy customers
- Backed by Zerodha
- Dedicated Claim Support Team
- 100% Free Consultation
Confused about the right insurance? Speak to Ditto’s certified advisors for free, unbiased guidance. Book your call or chat on WhatsApp with us now!
Conclusion
The Star Health Assure premium chart is a solid starting point. But the base rate on paper will almost never be what you actually pay. Your city, your age, whether you add any optional covers, and the wellness discount you qualify for can all pull that number in different directions.
We suggest starting with the online calculator on the Star Health website to get a rough idea. Keep in mind that your actual premium only becomes clear after you apply and the insurer reviews your profile through underwriting. If you are comparing plans across insurers, check out our guide on the best health insurance plans in India.
Frequently Asked Questions
Last updated on:
